Countdown Magazin

Adapterherstellung

(Oliver Hartwig) - MEIN PROBLEM WAR: WIE ERHALTE ICH DEN MANTEL EINES BESTIMMTEN KEGELSTUMPFES, DER ZWEI RÖHREN MIT UNTER-SCHIEDLICHEN DURCHMESSER IN EINEM BESTIMMTEN ABSTAND MITEINANDER VERBINDEN SOLL?

Modellraketen Adapterherstellung 1

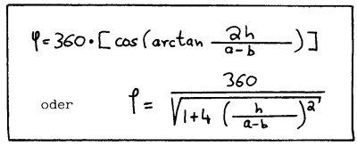
1. Man errechne den Winkel *f des entsprechenden Kegelmantels:

2. Man errechne die Radien Ra und Rb:


(= Rechnungen in Altgrad = 360°).

Modellraketen Adapterherstellung 2

3. Man zeichne einen Winkel mit dem errechneten Maß ¶, trage mit einem Zirkel die Radien Ra und Rb ab und erhält den Mantel des gesuchten Kegelstumpfes. Je nach Bedarf kann man Klebefalzen einzeichnen.

(aus COUNTDOWN 3/88 - Nachdruck ohne Genehmigung verboten!)

Zurück


© Countdown Online, Oliver Missbach. Alle Rechte vorbehalten. Diese Seite ist ein Teil von http://www.countdown-magazin.de